Пусть у нас есть 7 яблок:

Нам необходимо разделить их поровну между тремя детьми. Как это возможно сделать?
1 способ:
Можно каждое яблоко разделить на три доли, то есть мы получим по
яблока, и дать всем детям долю от каждого яблока. Тогда каждый ребенок получит семь таких долей, значит, один ребенок получит
яблока:

2 способ:
Так как у нас семь яблок, то мы можем каждому ребенку дать по два целых яблока, а седьмое поделить между ними поровну, то есть по
яблока каждому:

В этом случае каждый ребенок получит по
яблока.
Такую сумму, как
, принято записывать так:
. Число
читают: "две целых одна третья". Число
называют смешанным числом. В нем число 2 называют целой частью, а число
- его дробной частью, при этом дробная часть смешанного числа - это всегда правильная дробь.
Вернемся к задаче, которую мы рассматривали. В обоих случаях дети получили одинаковые части яблок, то есть мы можем сказать, что:
.
Данное равенство показывает, что неправильную дробь
можно записать в виде смешанного числа
. Говорят, что из неправильной дроби
выделена целая часть. При этом из любой неправильной дроби, числитель которой нацело не делится на знаменатель, можно выделить целую часть, то есть записать ее в виде смешанного числа. При этом, если числитель делится нацело на знаменатель, то эта дробь равна натуральному числу.
| Чтобы неправильную дробь, числитель которой нацело не делится на знаменатель, преобразовать в смешанное число, надо числитель разделить на знаменатель; полученное неполное частное записать как целую часть смешанного числа, а остаток - как числитель его дробной части. |
Пример 1: Выделим целую часть из неправильной дроби
.
Для этого разделим 157 на 9 с остатком, имеем: 157: 9 = 17 (ост. 4)

То есть получили, что неполное частное равно 17, а остаток - 4. Значит,
.
Мы выделили целую часть неправильной дроби, или по-другому, представили неправильную дробь в виде смешанного числа. На практике часто приходится выполнять обратное, то есть смешанное число представлять в виде неправильной дроби.
| Чтобы преобразовать смешанное число в неправильную дробь, надо целую часть числа умножить на знаменатель дробной части и к полученному произведению прибавить числитель дробной части; эту сумму записать как числитель неправильной дроби, а в ее знаменатель записать знаменатель дробной части смешанного числа. |
Пример 2: Преобразуем в смешанную дробь число
:
.
Стоит отметить, что переместительное и сочетательное свойство сложения натуральных чисел выполняются и для смешанных чисел. На их основе мы можем записать:
| Чтобы найти сумму двух смешанных чисел, надо отдельно сложить их целые и дробные части. |
Пример 3: Найдем сумму чисел
и
:

Обратите внимание, что число
не является смешанным, так как дробь
является неправильной.
Со смешанными числами можно также проводить операцию вычитания. При этом, если дробная часть уменьшаемого больше или равна дробной части вычитаемого, то можно воспользоваться следующим правилом.
| Чтобы найти разность двух смешанных чисел, надо из целой и дробной частей уменьшаемого вычесть соответственно целую и дробную части вычитаемого. |
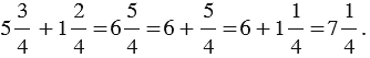
Пример 4: Найдем разность чисел
и
:

В случае, если дробная часть уменьшаемого меньше дробной части вычитаемого, данное правило использовать нельзя, но уменьшаемое можно преобразовать так, чтобы данное правило было применимо.
Пример 5: Найдем разность чисел
и
:
Мы видим, что дробная часть уменьшаемого меньше дробной части вычитаемого, выполним преобразование уменьшаемого:

Тогда имеем:

Признаки делимости на 10, на 5 и на 2
Признаки делимости на 9 и на 3
Разложение на простые множители
Сложение и вычитание дробей с одинаковыми знаменателями
Сложение и вычитание смешанных чисел
Приведение дробей к общему знаменателю
Сравнение, сложение и вычитание дробей с разными знаменателями
5 класс
Задание 1085, Виленкин, Жохов, Чесноков, Шварцбург, Учебник
Задание 1094, Виленкин, Жохов, Чесноков, Шварцбург, Учебник
Задание 1117, Виленкин, Жохов, Чесноков, Шварцбург, Учебник
Задание 1128, Виленкин, Жохов, Чесноков, Шварцбург, Учебник
Задание 1192, Виленкин, Жохов, Чесноков, Шварцбург, Учебник
Задание 1354, Виленкин, Жохов, Чесноков, Шварцбург, Учебник
Задание 1369, Виленкин, Жохов, Чесноков, Шварцбург, Учебник
Задание 1726, Виленкин, Жохов, Чесноков, Шварцбург, Учебник
Номер 809, Мерзляк, Полонский, Якир, Учебник
Номер 10, Мерзляк, Полонский, Якир, Учебник
6 класс
Номер 995, Мерзляк, Полонский, Якир, Учебник
Номер 1036, Мерзляк, Полонский, Якир, Учебник
Задание 699, Виленкин, Жохов, Чесноков, Шварцбург, Учебник
Задание 760, Виленкин, Жохов, Чесноков, Шварцбург, Учебник
Задание 2.217, Виленкин, Жохов, Чесноков, Шварцбург, Учебник, часть 1
Задание 2.228, Виленкин, Жохов, Чесноков, Шварцбург, Учебник, часть 1
Задание 2.236, Виленкин, Жохов, Чесноков, Шварцбург, Учебник, часть 1
Задание 2.319, Виленкин, Жохов, Чесноков, Шварцбург, Учебник, часть 1
Задание 2.494, Виленкин, Жохов, Чесноков, Шварцбург, Учебник, часть 1
Задание 3.140, Виленкин, Жохов, Чесноков, Шварцбург, Учебник, часть 1
7 класс
Номер 47, Мерзляк, Полонский, Якир, Учебник
Номер 126, Мерзляк, Полонский, Якир, Учебник
Номер 155, Мерзляк, Полонский, Якир, Учебник
Номер 238, Мерзляк, Полонский, Якир, Учебник
Номер 430, Мерзляк, Полонский, Якир, Учебник
Номер 574, Мерзляк, Полонский, Якир, Учебник
Номер 581, Мерзляк, Полонский, Якир, Учебник
Номер 871, Мерзляк, Полонский, Якир, Учебник
Номер 900, Мерзляк, Полонский, Якир, Учебник
Номер 1215, Мерзляк, Полонский, Якир, Учебник
8 класс
Номер 9, Мерзляк, Полонский, Якир, Учебник
Номер 118, Мерзляк, Полонский, Якир, Учебник
Номер 140, Мерзляк, Полонский, Якир, Учебник
Номер 241, Мерзляк, Полонский, Якир, Учебник
Номер 255, Мерзляк, Полонский, Якир, Учебник
Номер 305, Мерзляк, Полонский, Якир, Учебник
Номер 306, Мерзляк, Полонский, Якир, Учебник
Номер 499, Мерзляк, Полонский, Якир, Учебник
Номер 508, Мерзляк, Полонский, Якир, Учебник
Номер 839, Мерзляк, Полонский, Якир, Учебник