Вернуться к содержанию учебника
1. Найди и объясни ошибки в вычислениях, запиши правильное решение.

Повтори алгоритм письменного деления трёхзначных чисел.
2. Вычисли и сделай проверку.
| 992 : 4 | 741 : 3 | 864 : 4 | 845 : 5 |
Решение
![]() |
![]() |
![]() |
![]() |
Пояснение
Пишу: 992 : 4.
Делю сотни: сотен 9.
Разделю 9 на 4. В частном будет 2.
Умножу: 4 • 2 = 8. Разделили 8 сот.
Вычту: 9 - 8 = 1. Осталось разделить 1 сот.
Сравню остаток с делителем: число оставшихся сотен меньше, чем 4; можно продолжать деление.
Делю десятки: 1 сот. и 9 дес. - это 19 дес.
Разделю 19 на 4. В частном будет 4 дес.
Умножу: 4 • 4 = 16. Разделили 16 дес.
Вычту: 19 - 16 = 3. Осталось разделить 3 десятка.
Делю единицы: 3 дес. и 2 ед. - это 32 ед.
Разделю 32 на 4. В частном будет 8.
Умножу: 4 • 8 = 32. Разделили 32 ед.
Вычту: 32 - 32 = 0. Единицы разделили все.
Читаю ответ: 248.
Чтобы проверить деление, можно частное умножить на делитель и, если деление выполнено верно, в результате умножения должно получится делимое.
Пишу (единицы под единицами, десятки под десятками, сотни под сотнями): 248 • 4.
Умножаю единицы: 8 • 4 = 32. 32 ед. - это 3 дес. и 2 ед.; 2 ед. пишу под единицами, а 3 дес. запомню и прибавлю к десяткам после умножения десятков.
Умножаю десятки: 4 • 4 = 16, да ещё 3 дес., которые получились при умножении единиц:
16 + 3 = 19.
19 дес. - это 1 сот. и 9 дес., 9 дес. пишу под десятками, а 1 сот. запомню и прибавлю к сотням после умножения сотен.
Умножаю сотни: 2 • 4 = 8. К 8 сот. прибавляю 1 сот., которые получены при умножении десятков: 8 + 1 = 9. Пишу 9 под сотнями.
Читаю ответ: 992.
3. Вычисли и проверь вычитанием.
| 348 + 537 | 246 + 327 |
| 453 + 174 | 621 + 297 |
Решение
![]() |
![]() |
![]() |
![]() |
Пояснение
Пишу (единицы под единицами, десятки под десятками, сотни под сотнями): 453 + 174.
Складываю единицы: 3 + 4 = 7.
Пишу под единицами 7.
Складываю десятки: 5 + 7 = 12.
12 дес. - это 1 сот. и 2 дес.; 2 дес. пишу под десятками, а 1 сот. прибавлю к сотням.
Складываю сотни: 4 + 1 = 5, да ещё 1.
5 + 1 = 6.
Пишу под сотнями 6.
Читаю ответ: 627.
Чтобы проверить сложение вычитанием, можно использовать любой из следующих способов:
Пишу (единицы под единицами, десятки под десятками, сотни под сотнями): 627 - 174.
Вычитаю единицы: 7 - 4 = 3, пишу под единицами 3.
Вычитаю десятки: из 2 дес. нельзя вычесть 7 дес. Беру 1 сот. из 6 сот. (Чтобы не забыть об этом , ставлю точку над цифрой 6.) 1 сот. и 2 дес. - это 12 дес. Из 12 вычесть 7, получится 5. Пишу под десятками 5.
Вычитаю сотни: Было 6 сот., но 1 сот. взяли при вычитании десятков, осталось 5 сот.
5 - 1 = 4.
Пишу под сотнями 4.
Читаю ответ: 453.
Далее рассуждаю аналогично.
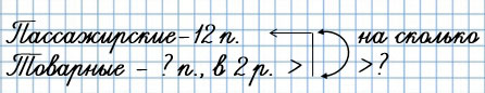
4. За день мимо станции прошло 12 пассажирских поездов, а товарных - в 2 раза больше. На сколько больше прошло товарных поездов, чем пассажирских?
Решение
1) 12 • 2 = 24 (п.) - товарных.
2) 24 - 12 = 12 (п.)
Ответ: на 12 товарных поездов прошло больше, чем пассажирских.
Пояснение

Сколько товарных поездов прошло мимо станции?
1) 12 • 2 = 24 (п.)
На сколько больше прошло товарных поездов, чем пассажирских?
2) 24 - 12 = 12 (п.)
За день мимо станции прошло 12 пассажирских поездов, а товарных - в 2 раза больше. Вычислим, сколько товарных поездов прошло мимо станции:
1) 12 • 2 = 24 (п.)
За день мимо станции прошло 12 пассажирских поездов и 24 товарных. Узнаем, на сколько больше прошло товарных поездов, чем пассажирских:
2) 24 - 12 = 12 (п.)
5. На одной машине привезли 200 ящиков слив, а на другой - на 50 ящиков больше. Сколько килограммов слив привезли на каждой машине, если в каждом ящике по 4 кг слив?
Решение
1) 200 + 50 = 250 (ящ.) - на другой машине.
2) 4 • 200 = 800 (кг) - на одной машине.
3) 4 • 250 = 1000 (кг) = 1 (т) - на другой машине.
Ответ: на одной машине - 800 кг, на другой - 1 т.
Пояснение

Сколько ящиков привезли на другой машине?
1) 200 + 50 = 250 (ящ.)
Сколько килограммов слив привезли на одной машине?
2) 4 • 200 = 800 (кг)
Сколько килограммов слив привезли на другой машине?
3) 4 • 250 = 1000 (кг) = 1 (т)
На одной машине привезли 200 ящиков слив, а на другой - на 50 ящиков больше. Вычислим, сколько ящиков слив привезли на другой машине:
1) 200 + 50 = 250 (ящ.)
Узнаем, сколько килограммов слив привезли на одной машине, если на ней было 200 ящиков по 4 кг:
2) 4 • 200 = 800 (кг)
Узнаем, сколько килограммов слив привезли на другой машине, если на ней было 250 ящиков по 4 кг:
3) 4 • 250 = 1000 (кг) = 1 (т)
6.

Вариант ответа #1:

Пояснение
Чтобы найти значение буквенного выражения, нужно в это выражение вместо букв подставить данные числа и выполнить вычисления.
Если
= 80,
= 10
•
= 80 • 10 = 800
:
= 80 : 10 = 8
Если
= 60,
= 10
•
= 60 • 10 = 600
:
= 60 : 10 = 6
Если
= 120,
= 4
•
= 120 • 4 = 12 дес.• 4 = 48 дес. = 480
:
= 120 : 4 = 12 дес. : 4 = 3 дес. = 30
Если
= 210,
= 3
•
= 210 • 3 = 21 дес.• 3 = 63 дес. = 630
:
= 210 : 3 = 21 дес. : 3 = 7 дес. = 70
Если
= 160,
= 4
•
= 160 • 4 = 16 дес.• 4 = 64 дес. = 640
:
= 160 : 4 = 16 дес. : 4 = 4 дес. = 40
Если
= 270,
= 3
•
= 270 • 3 = 27 дес.• 3 = 81 дес. = 810
:
= 270 : 3 = 27 дес. : 3 = 9 дес. = 90
Если
= 160,
= 2
•
= 160 • 2 = 16 дес.• 2 = 32 дес. = 320
:
= 160 : 2 = 16 дес. : 2 = 8 дес. = 80
Если
= 0,
= 7
•
= 0 • 7 = 0
:
= 0 : 7 = 0
Вариант ответа #2:
Решение

Пояснение
80 • 10 = 800
80 : 10 = 8
60 • 10 = 600
60 : 10 = 6
120 • 4 = 12 дес. • 4 = 48 дес. = 480
120 : 4 = 12 дес. : 4 = 3 дес. = 30
210 • 3 = 21 дес. • 3 = 63 дес. = 630
210 : 3 = 21 дес. : 3 = 7 дес. = 70
160 • 4 = 16 дес. • 4 = 64 дес. = 640
160 : 4 = 16 дес. : 4 = 4 дес. = 40
270 • 3 = 27 дес. • 3 = 81 дес. = 810
270 : 3 = 27 дес. : 3 = 9 дес. = 90
160 • 2 = 16 дес. • 2 = 32 дес. = 320
160 : 2 = 16 дес. : 2 = 8 дес. = 80
0 • 7 = 0
0 : 7 = 0
Выберите год учебника
Стр. 96 учебника 2011-2022:
7. Какое число делится без остатка только на 1 и на 7?
Стр. 96 учебника 2023-2024:
7. Какое число делится без остатка только на 1 и на 7? Запиши его.
8. Назови хотя бы одно двузначное число, которое делится без остатка на все данные числа: 2, 3, 5, 10.
Повтори, как делить круглые числа.
Начерти и раскрась:

Повтори, какие бывают треугольники.
Выберите год учебника
Стр. 96 учебника 2011-2022:
На нашем сайте есть решение варианта 1 проверочной работы на странице 86.
На нашем сайте есть решение варианта 2 проверочной работы на странице 87.
Стр. 96 учебника 2023-2024:
"Проверочные работы", с 86, 87.
На нашем сайте есть решение варианта 1 проверочной работы на странице 86.
На нашем сайте есть решение варианта 2 проверочной работы на странице 87.
Вернуться к содержанию учебника