Вернуться к содержанию учебника
Страница 95
509 510 511 512 513 514 515 516 517 518 519
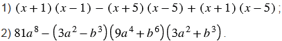
Упростите выражение:
Вспомните: