Номер 95 - ГДЗ Алгебра 8 класс. Мерзляк, Полонский. Учебник. Страница 24

Вернуться к содержанию учебника

Упражнения § 3. Страница 24

92 93 94 95 96 97 1

Вопрос

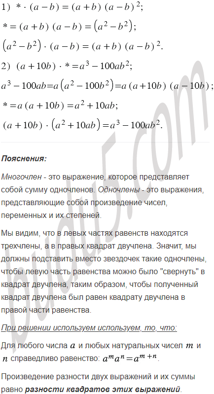
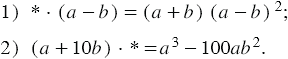
Вместо звёздочки запишите такой многочлен, чтобы выполнялось равенство:

Подсказка

Ответ


Вернуться к содержанию учебника