Номер 402 - ГДЗ Алгебра 8 класс. Мерзляк, Полонский. Учебник. Страница 102

Вернуться к содержанию учебника

Упражнения § 12. Страница 102

399 400 401 402 403 404 405

Вопрос

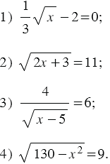
Решите уравнение:

Подсказка

Ответ


Вернуться к содержанию учебника