Номер 539 - ГДЗ Алгебра 7 класс. Мерзляк, Полонский. Учебник. Страница 99

Вернуться к содержанию учебника

Страница 99

536 537 538 539 540 541 542

Вопрос

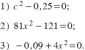
Решите уравнение:

Подсказка

Ответ


Вернуться к содержанию учебника