Вернуться к содержанию учебника
Упражнения для повторения курса алгебры 8 класса. Страница 222
886 887 888 889 890 891 892 893 894 895 896
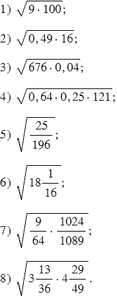
Найдите значение корня:
Вспомните: