Вернуться к содержанию учебника
Выберите год учебника
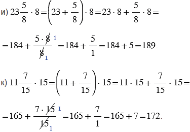
№2.383 учебника 2023-2024 (стр. 96):
Найдите произведение:

№2.383 учебника 2021-2022 (стр. 90):
Найдите произведение:

№2.383 учебника 2023-2024 (стр. 96):
Вспомните:
№2.383 учебника 2021-2022 (стр. 90):
Вспомните:
№2.383 учебника 2023-2024 (стр. 96):

Пояснения:
Произведением двух дробей является дробь, числитель которой равен произведению числителей, а знаменатель - произведению знаменателей.
Чтобы умножить обыкновенную дробь на натуральное число, нужно ее числитель умножить на это число, а знаменатель оставить без изменения.
При выполнении умножения, чтобы вычисления были проще, не надо перемножать сразу, лучше сделать это после сокращения. Сократить дробь - значит, разделить ее числитель и знаменатель на одно и то же число (наибольший общий делитель).
№2.383 учебника 2021-2022 (стр. 90):



Пояснения:
Чтобы умножить смешанное число на натуральное число, используем распределительное свойство умножения, а именно, чтобы умножить смешанное число на натуральное число, можно:
1) умножить целую часть на натуральное число;
2) умножить дробную часть на это натуральное число;
3) сложить полученные результаты.
Чтобы умножить обыкновенную дробь на натуральное число, нужно ее числитель умножить на это число, а знаменатель оставить без изменения. Чтобы вычисления были проще, не надо перемножать сразу, лучше сделать это после сокращения. Сократить дробь - значит, разделить ее числитель и знаменатель на их наибольший общий делитель. Также помним, дробь, у которой в знаменателе стоит единица, равна своему числителю, а дробь, у которой числитель и знаменатель одинаковые, равна единице.
Вернуться к содержанию учебника